Soalan dan jawapan spm 2019, contoh soalan dan jawapan temuduga, soalan dan jawapan upsr 2020, burung terbang dipipiskan lada soalan dan jawapan, pantun soalan dan jawapan, soalan dan jawapan matematik tingkatan 1, soalan dan jawapan statistik, soalan dan jawapan upsr 2019, contoh soalan dan jawapan muet writing, contoh soalan dan jawapan interview, soalan dan jawapan spm 2019, contoh soalan dan jawapan temuduga, soalan dan jawapan upsr 2020, burung terbang dipipiskan lada soalan dan jawapan, pantun soalan dan jawapan, soalan dan jawapan matematik tingkatan 1, soalan dan jawapan statistik, soalan dan skema jawapan, sains upsr soalan dan skema jawapan, soalan dan jawapan upsr 2019,













Random Image

Blog Archive
-
▼
2020
(977)
-
▼
July
(155)
- Resepi Kek Milo Moist
- Resepi Kek Hari Jadi Kukus Mudah
- Resepi Ikan Kerapu Merah
- Resepi Nasi Lemak Yg Sdp
- Resepi Ayam Masak Lada Hitam Kering
- Surat Tidak Rasmi Program Minggu Bahasa Melayu
- Resepi Cheesekut Kastard
- Soalan Percubaan Spm 2019 Negeri Sarawak
- Resepi Apam Nasi Gula Melaka
- Resepi Daging Masak Hitam Negeri Sembilan
- Contoh Soalan Kaji Selidik Kebersihan
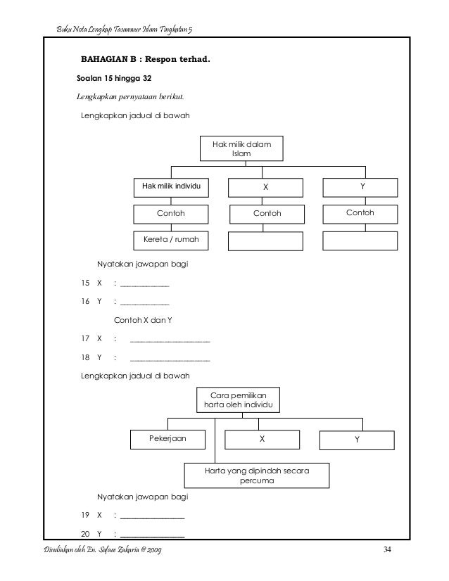
- Soalan Dan Jawapan Tentang Islam
- Resepi Nasi Lemak Sambal Udang
- Soalan Kbat Darjah 4
- Resepi Daging Dendeng Bawang Goreng
- Resepi Asam Pedas Serbuk Kari
- Surat Rasmi Rayuan Lesen
- Resepi Donut Gebu N Simple
- Resepi Nasi Lemak Kuala Lumpur
- Format Surat Kiriman Rasmi Bahasa Arab
- Resep Ayam Goreng Kecap Ala Bugis
- Resepi Bubur Ikan Tenggiri Untuk Bayi
- Resep Ayam Kecap Spesial
- Resepi Ikan Kembung Asam Rebus
- Resepi Lempeng Diet Atkins
- Resepi Chicken Chop Dan Sos Black Pepper
- Resepi Kek Batik Yang Lembut
- Contoh Soalan Pt3 Bahasa Melayu Komsas
- Resepi Ayam Masak Singgang
- Contoh Soalan Objektif Pengajian Am Penggal 3
- Resep Ayam Giling Bistik
- Resepi Bubur Jagung Telur
- Resepi Nasi Goreng Lambak
- Resep Ayam Bakar Crispy
- Resep Ayam Ungkep Lalapan
- Resepi Nasi Putih Ayam Kunyit
- Resepi Hokkaido Triple Cheesecake
- Resepi Kari Ikan Shiela Rusly
- Resepi Ayam Goreng Mamak Aji
- Surat Permohonan Cuti Word
- Resepi Nasi Ayam Guna Beras Basmati
- Surat Rasmi Kerajaan Negeri Melaka
- Resepi Ayam Masakan Korea
- Contoh Soalan Matematik Dalam Ujian Psikometrik
- Resepi Ikan Patin Tempoyak Pekat
- Resepi Nasi Kak Wok Azie Kitchen
- Resepi Ayam Honey Lemon
- Contoh Soalan Fizik Tingkatan 4 Dan Jawapan
- Resepi Cupcake Untuk 2 Orang
- Contoh Soalan Tahun 1 Bahasa Malaysia
- Resep Kari Ayam Ala Bugis
- Resep Ayam Penyet Dan Sambalnya
- Soalan Prinsip Akaun Tingkatan 5
- Resep Ayam Goreng Enak Ncc
- Teknik Menjawab Soalan Geografi Spm
- Soalan Dan Jawapan Tasawwur Islam Tingkatan 4
- Soalan Esei Sejarah Tingkatan 5 Bab 1
- Resepi Guna Roti Sandwich
- Resepi Lasagna Yang Sedap
- Contoh Soalan Peperiksaan Pertengahan Tahun Bahasa...
- Resepi Ayam Masak Halia Kicap
- Soalan Matematik Kertas 1
- Resepi Burger Dil Ayam
- Resepi Daging Panggang Lembut
- Surat Jemputan Rasmi Mesyuarat Agung Pibg
- Resepi Ayam Goreng Ala Kfc Rangup Dan Mudah
- Resepi Ayam Goreng Tepung Serbaguna
- Soalan Oral English Pt3 2019
- Soalan Peperiksaan Akhir Tahun Biologi Tingkatan 4...
- Resepi Ikan Kembung Masak Lemak Putih
- Surat Rasmi Berhenti Sekolah Tadika
- Resep Sup Ayam Rendah Kalori
- Resep Bubur Ayam Enak Untuk Dijual
- Resepi Carbonara Homemade Tanpa Cheese
- Resep Kue Kering Lebaran Dan Gambarnya
- Resepi Roti Guna Tepung Kentang
- Resepi Ayam Paprik Kuning
- Contoh Surat Rasmi Spm 2018
- Resepi Lauk Ayam Berkuah
- Resepi Gulai Ketam Nenas
- Resep Kue Kering Imut Lucu
- Resepi Nasi Jagung Azie Kitchen
- Resepi Roti Naan
- Resepi Daging Masak Rendang
- Resepi Kek Coklat Bakar Sukatan Cawan
- Resepi Ayam Panggang Kampung
- Resepi Durian Crepe Tepung Gandum
- Resepi Ayam Percik Merah Kelantan
- Soalan Add Math Tingkatan 4 Pertengahan Tahun
- Format Surat Rasmi Rayuan Asrama
- Resep Brownies Hugo
- Resepi Kek Pisang Muda
- Resep Nasi Tim Ayam Jamur Sajian Sedap
- Contoh Soalan Zaman Prasejarah
- Contoh Soalan Pengetahuan Am Tingkatan 6
- Surat Rasmi Permohonan Sebut Harga
- Soalan Akhlak Sra Tahun 1
- Resepi Ayam Buttermilk Susu Segar
- Resipi Ayam Goreng Lemon
- Soalan Bahasa Inggeris Tahun 6 Sjkc
-
▼
July
(155)
Total Pageviews
Search This Blog
Powered by Blogger.
Popular Posts
-
Dji om 5 gimbal stabilizer dji om 5 smartphone gimbal stabilizer review dji om 5 handheld gimbal dji om 5 gimbal review dji om 4 handheld fo...
-
Apple watch 7 review a slight upgrade compared with crossword apple watch 7 review a slight upgrade compared in spanish apple watch 7 review...
-
Resepi vanilla milkshake recipe, resepi vanilla milkshake day, resepi vanilla milkshake without ice, resepi vanilla milkshake paint, resepi ...
About Me
© 2022 - Kelvin Sux